镜面光泽度是评价物体表面对光的反射能力强弱的一个物理量,一般来说物体表面反射光越强烈,越接近镜面效果,则镜面光泽度就越高,反之则越低。本文对镜面光泽度的形成原理及镜面光泽度的测量方法做了介绍。

光泽是物体的表面特性,其高低主要是取决于物体表面对光的镜面反射能力。光泽度是指物体表面对光的漫反射的强弱,它是由光线和被测物体的物理特性共同作用。由于实际的物体表面在微观上是具有凹凸不平的形貌特征,当外界光线按照一定的方向射入到物体表面时,入射光线会受表面上个点的轮廓形状的不同而形成不同的反射,其中一部分沿着与物体表面轮廓垂直的法线镜像位置反射,其余部分光线沿轮廓形状向各个方向反射。以肉眼看清,物体表面反射越强烈,越接近镜面效果,因此又被称为镜面光泽。
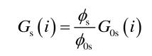
光泽度(gs)定义为被测表面的镜向反射率值与标准黑玻璃板镜像反射率的比值,其计算公式如下:

其中,i为入射角,φs为被测表面反射光通量,φ0s为标准样板表面反射光通量,g0s(i)标准样板的表面光泽度(定义获得理想平面的标准样板对自然光束进行镜面反射时的光泽度值为100.0gu)。
假设r为被测物体表面的镜向反射率(即反射光在镜向反射方向上接收角度内光通量与入射光光通量的比值),则公式可表示为:

其中,r0为标准板的镜向反射率。
光泽度的测量原理是光源发出一束光经过聚光透镜到达被测面,而被测面将光反射到另一个透镜,并将反射光汇聚在光电池中,光电池将光信号转换为电信号传送至电路进行处理,最终完成测量并显示测量结果,其检测原理如下图所示。

根据入射角不同主要分为20°、60°和85°,其中60°为通用性仪器。以60%的光泽度仪为例,根据其测量范围主要分为,低光泽(<10gu)、中光泽(10gu-70gu)和高光泽(>70gu)三种类型。